WMS及質量追溯系統簡介
發表于:2019/4/15 15:27:19??閱讀量: [關閉]
1 WMS的定義及在企業中的位置
自從工業化時代開啟以來,一個企業的主要管理方向無外乎集中在下面三個:
一、供:采購/供應管理(尋源)
二、產:生產運營管理(加工)
三、銷:物流管理(交付)
當然伴隨著時代的發展,三者之間在不同時期還是有著不同的位置的。首先,是20 世紀早期到80年代初,這段時期是豎向集成盛行的年代,供產銷大都處于一個公司內部,這個時期的競爭基本是企業與企業之間的競爭。后來,從80年代后期到目前,豎向集成開始解體,外包盛行。比如通用汽車剝離他的零部件生產廠商等等案例,此時供產銷從主要是企業內部關系,轉變為企業與企業之間的關系,競爭也不再局限于企業與企業之間,而是上升到多個企業與多個企業之間——供應鏈管理誕生。(別著急,話題并沒有被扯遠)
供應鏈管理的理論發展大概是如下一個過程:

換句話說即便是現在很時髦的供應鏈管理,其管理實質依然沒有超過供、產、銷的范疇。當然因為本文主要是探討WMS及其延伸的條碼、質量追溯管理,所以我們就簡要談談跟WMS相對比較密切的物流管理,其他方面就暫不展開了。
在物料管理中,有四大管理核心:
一、采購管理
二、倉儲管理(重點出現)
三、配送管理
四、運輸管理
其中,倉儲管理和運輸管理是物流管理中的兩個重要環節,是物流的支柱,在商品交換過程中,雖然購和銷決定了物資的交換關系,但如果沒有倉儲管理和運輸管理的配合,則這種交換關系最終無法實現。
因此,對于大多數生產型企業來說,倉儲管理應該在如下位置:

說到這里,有些人可能會有疑問:倉庫管理有多重要?我們認為可以用如下兩點回答:
第一、除銀行外,工廠里幾乎所有的流動資產都集中在倉庫,一般情況下,倉庫中的物品會占到企業總資產的20%-40%,倉庫的流動順暢與否,生產進出頻繁,物料的收發是否正常有序,直接關系到工廠的各種生產效率是否達成有效目標。
第二、倉庫對物料的數字準確性也關乎到生產的進度。如果物料沒有及時供給生產,造成收發料的短缺,可能會影響到出貨的順利。
進而,我們認為倉庫管理的價值點如下:
1. 數據采集及時、過程精準管理、全自動化智能導向,提高工作效率;
2. 庫位精確定位管理、狀態全面監控,充分利用有限倉庫空間;
3. 貨品上架和下架,全智能既定策略自動分配上下架庫位,避免人為錯誤;
4. 實時掌控庫存情況,合理保持和控制企業庫存;
5. 通過對批次信息的自動采集,實現了對產品生產或銷售過程的可追溯性。
更要的是,隨著條碼技術的發展,基于條碼的WMS促進公司管理模式的轉變,從傳統的依靠經驗管理轉變為依靠精確的數字分析管理,從事后管理轉變為事中管理、實時管理,加速了資金周轉,提升供應鏈響應速度,這些必將增強公司的整體競爭能力。
2 WMS業務范圍
接下來我們來探討WMS系統到底應該做什么。通常我們認為現代企業的倉儲管理主要工作如下:
• 倉庫選址與布點
• 倉庫規模的確定和內部合理布局
• 倉儲設施和設備的選擇和配備
• 倉儲資源的獲得
• 倉儲作業活動管理
• 庫存控制
• 倉儲經營管理
• 倉儲人力資源管理
WMS做為一個信息化管理系統,其業務自然無法涵蓋上面的前四條內容。所以,我們認為一個成熟的WMS系統應該包含如下業務范圍和拓展方向:
• 倉儲作業活動管理(出庫,入庫,盤點,移庫)
• 庫存控制(安全庫存設定,補貨策略,補貨提示)
• 倉儲經營管理(上架策略,下架策略,揀貨策略,批次管理)
• 倉儲人力資源管理(管理指標分析)
• 擴展-條碼管理
• 擴展-質量追溯
接下來,我們初步談談這些業務。
2.1 倉庫作業活動管理
我們用一張圖來說明:

2.2 庫存控制
目前常用的庫存控制方法如下:
• 定量庫存控制方法:是以固定訂購點和訂購批量為基礎的庫存量控制方法。
通常訂購點用如下方式計算:
訂購點=訂購周期*平均日消耗量+保險儲備量
保險儲備量=(日最大耗用量-正常耗用量)*訂購提前日期數
訂購批量:通常采用經濟訂購批量(EOQ)
• 定期庫存控制方法:是以固定的檢查和訂貨周期為基礎的庫存量控制方法。
訂購批量=平均日消耗量*(訂購周期+訂購提前日期)+保險儲備量-現有庫存量-已訂未交量
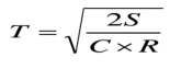
訂購周期:![]()
T:經濟訂貨周期
S:單次訂貨費用
C:單位商品年儲存費用
R:年庫存商量需求量(銷售量)
• ABC庫存控制法:以某類庫存物資品種數占物資品種數的百分數和該類物資金額占庫存物資總金額的百分數大小為標準,將庫存物資分為A,B,C三類,進行分級管理。
• MRP庫存控制方法:根據總生產進度計劃中規定的最終產品的交貨日期,規定必須完成各項作業的時間,編制所有較低層次零部件的生產進度計劃,對外計劃各種零部件的采購時間與數理,對內確定生產部門應進行加工生產的時間和數量。
• JIT庫存控制方法:Just In Time,準時制生產,又稱無庫存生產
• 供應鏈庫存管理:供應鏈管理需要企業轉變兩個經營理念:
企業間的關系由交易買賣關系轉變為戰略合作關系。
由企業個體優化到整體最優,將供應鏈上的業務和各相關企業視為一體,以整體最佳化為目標。
因為我們在進行WMS的技術落地時,通常不考慮 JIT庫存控制方法和供應鏈庫存管理。
2.3 倉儲經營管理
通常包括如下四個方面:
1 上架策略:
常用的上架策略:手工指定;固定儲位;動態儲位
2 下架策略:
常用的下架策略:先進先出;后進先出;隨機下架
3 揀貨策略:
影響揀貨策略的四個因素:分區;訂單分割;訂單分批;分類
通常的揀貨策略:摘果法;播種發
4 批次管理:通過對物料的出入庫全過程進行標識和批次管理,確保當產品出現問題或需要時可實現追溯。
2.4 倉庫人力資源管理
此部分與企業的管理模式有深刻聯系,討論起來非常復雜,所以本文略過。
2.5 條碼管理
條碼分類:單品碼,箱碼

2.6 質量追溯
• 正向追溯
• 追溯產品的去向
• 反向追溯
• 追溯產品的材料、生產過程信息
• 關聯追溯
• 追溯產品的原料、供應商、生產信息、銷向等信息
3 WMS技術實現
青島中科華智信息科技有限公司 ( 簡稱:華智 HuaZhi )成立于2010年,是一家專門從事企業信息化的信息技術服務公司。于2012年成立深圳華智贏啟信息科技有限公司,并在北京、濟南設有分支機構。華智是SAP B1合作伙伴,公司核心員工擁有15年以上的信息化咨詢經驗。華智致力于為成長性企業提供信息化和數字化管理解決方案,業務內容主要包括SAP ERP實施、智能倉儲條碼系統、產品質量追溯方案、智能制造MES方案、工業物聯網應用開發以及項目定制開發服務。
我們立足于多年實施ERP系統的經驗,深刻理解并洞察生產制造型企業在WMS的需求,經過反復定制化實施驗證,推出了《中科華智WMS系統1.0》
產品架構:

產品示意:

采用的硬件設備示意:

本文鏈接:WMS及質量追溯系統簡介